W poprzednim wpisie z tej serii wspomniałem, że pomysł zapisywania dźwięku na płytach (w formie płaskiej spirali, na wałkach geometrycznym kształtem zapisu jest tzw. linia śrubowa, trójwymiarowa) pochodzi od francuskiego poety Charlesa Crosa, wynalazcy paleofonu. Pomysł Crosa obejmował też kopiowanie płyt w oparciu o wzorzec, co później stało się przyczynkiem do sukcesu płyty gramofonowej. Jednak Cros nie zrealizował tej idei.
Nad płytami jako fizyczną formą nośnika zastanawiał się też Edison, ale nie potrafił sobie poradzić z problemem zwiększającej się prędkości rowka na płycie względem igły. W przypadku linii śrubowej na wałku prędkość ta jest stała, bo stały jest promień krzywizny – natomiast w płaskiej spirali promień krzywizny maleje przy zbliżaniu się do środka płyty. Przez to igła ma krótszą drogę do pokonania (na początku standardowej dziś płyty długogrającej jest to ok. 188 cm na jeden obrót, a na końcu – ok. 75 cm). Przy stałej prędkości obrotów płyty przekłada się to na zmianę prędkości względem igły.

Za wynalazcę używanej do dziś płyty gramofonowej uważany jest Emile Berliner (1851–1929), amerykański wynalazca i biznesmen pochodzenia niemieckiego. Z rejestracją i odtwarzaniem dźwięku eksperymentował od 1886 roku, na początku stosując rejestrację na walcu pokrytym sadzą i utrwalanym za pomocą pokostu, a następnie kopiowanym metodą fotograwiury na walce przeznaczone do odtwarzania. Prędko jednak przerzucił się na format płyty, gdyż można ją kopiować znacznie łatwiej, np. metodą tłoczenia. Pierwsze płyty gramofonowe Berlinera (przeznaczone do gramofonu zabawki) były wytwarzane z ebonitu (utwardzanego kauczuku zawierającego więcej siarki niż guma), ale wynalazca przewidywał dla swojego dzieła poważniejsze zastosowania, więc wybrał na właściwe tworzywo szelak, zapewniający lepszą jakość dźwięku.


Szelak jest wydzieliną samic pluskwiaka z gatunku Kerria lacca, występującego w Azji i od dawna hodowanego przemysłowo, głównie w Indiach. Ma wiele zastosowań w dzisiejszym przemyśle, a już 3000 lat temu był w Indiach używany do wytwarzania biżuterii. Obecnie jest wykorzystywany do produkcji politury, barwienia tkanin, jako lakier do paznokci i klej do drewna oraz w wielu dziedzinach rzemiosła i przemysłu. Szczególnie powszechnie stosuje się szelak w przemyśle spożywczym – do pokrywania niektórych cukierków, żelków, orzeszków i owoców błyszczącą powłoką.
Do produkcji płyt gramofonowych używano szelaku od wprowadzenia gramofonu na rynek aż do lat 50., a w niektórych krajach, np. w Polsce, jeszcze dłużej. Mówiąc dokładniej, płyty tłoczono z mieszanki składającej się z szelaku, kredy i czasem innych składników, takich jak barwniki. Właściwości mechaniczne tej mieszanki sprawiały, że płyta mogła mieć 80–100 rowków na cal (czyli do 4 na 1 mm), co w połączeniu z prędkością odtwarzania, która stała się standardem – 78 obrotów na minutę – ograniczało długość utworu zajmującego jedną stronę 12-calowej płyty (rozmiar longplaya) do około 5 minut (bardziej popularny format, 10-calowy, mieścił maksymalnie 3 minuty nagrania, czyli i tak więcej niż standardowy dwuminutowy wałek). Dodatkowo płyty szelakowe były kruche i mogły się rozlecieć na kawałki po upuszczeniu na podłogę.


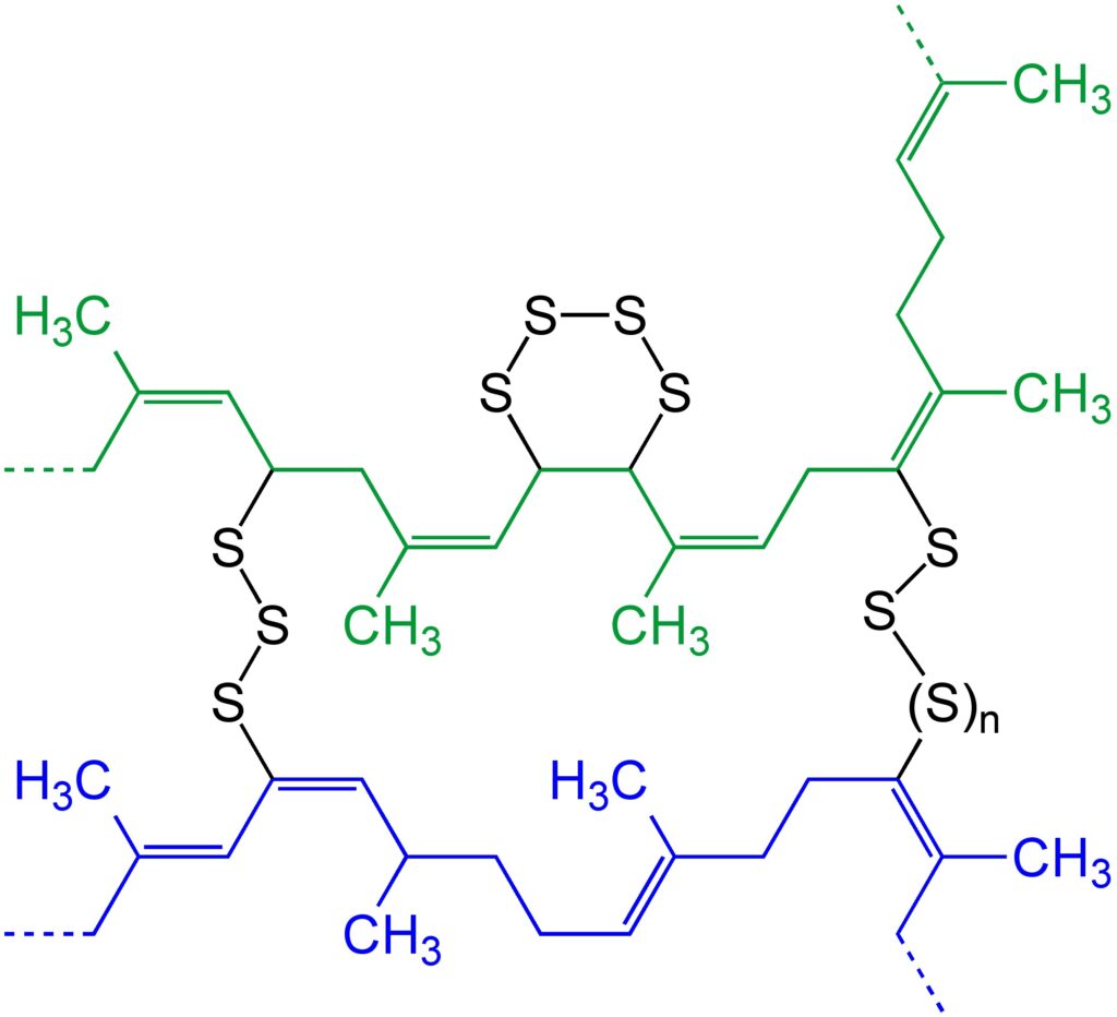
Jak większość substancji pochodzenia naturalnego, szelak jest skomplikowaną mieszaniną wielu związków organicznych. Głównymi składnikami szelaku są: kwas aleurytowy (łańcuchowy 16-węglowy kwas tłuszczowy zawierający trzy grupy hydroksylowe), kwas butolowy (łańcuchowy 14-węglowy kwas tłuszczowy zawierający grupę hydroksylową przy 6 atomie C), kwas jalarowy (wielopierścieniowy nienasycony kwas dikarboksylowy, zawierający też grupę aldehydową i hydroksylową) oraz jego izomery optyczne o nazwach kwas mlekojalarowy i kwas szelakolowy. Pełna lista składników szelaku liczy ponad sto pozycji – są to głównie estry kwasów wymienionych wyżej i innych.
Wspomniane wady płyty szelakowej, zwłaszcza jej niewielka „pojemność”, inspirowały do poszukiwania lepszych materiałów. Właściwym wyborem okazały się tworzywa sztuczne: przez pewien okres płyty tłoczono z polistyrenu, ale ostatecznie normą stał się poli(chlorek winylu), przez co zaczęto mówić o płytach winylowych. Zbiegło się to z opracowaniem zapisu drobnorowkowego oraz wprowadzeniem nowych formatów (przede wszystkim 7-calowego singla) i szybkości obrotów (single przeważnie odtwarzało się z prędkością 45 obrotów na minutę, a duże płyty – 33⅓).
Płyta drobnorowkowa ma zapis o gęstości do 260 rowków na cal (10 na 1 mm), co w połączeniu z dużo mniejszą prędkością obrotową daje maksymalną długość zapisu 30 minut na stronę (longplay 33⅓ rpm) lub 10–12 minut na stronę (singiel 45 rpm). W haśle „Phonograph record” Wikipedii podane są mniejsze wartości, mam jednak w domu płyty, które je przekraczają. Późniejsze udoskonalenia płyt obejmowały wprowadzenie dźwięku stereo (1957, ścieżki zapisywane były na ściankach rowka mającego przekrój litery V ze ściankami nachylonymi pod kątem 45°) i kwadro (1969). W tym drugim do zapisu 2 dodatkowych kanałów wykorzystywano różne sztuczki w połączeniu z przetwarzaniem elektronicznym, np. dźwięk tych kanałów był konwertowany na częstotliwości niesłyszalne dla ucha. Kwadro jednak się nie przyjęło, choć np. płyty zespołu Pink Floyd z lat 70. bywały wydawane w wersji kwadrofonicznej w formacie umożliwiającym słuchanie ich na zwykłym sprzęcie stereo.
Era płyt winylowych trwała od końca lat 40. do mniej więcej połowy lat 80. XX wieku, kiedy to wyparła je płyta CD. Jednak w ostatnich dekadach winyle przeżywają renesans – wielu melomanów woli brzmienie płyty winylowej od „sterylnego”, bezzakłóceniowego dźwięku z płyty kompaktowej. Winyle nie są jednak wolne od wad, z których największą jest podatność na mechaniczne uszkodzenia rowków mogące powodować trzaski lub przeskoki przy odtwarzaniu. Ponadto winyl ma skłonność do elektryzowania się, co przyciąga kurz.
Dla porządku napiszę jeszcze, że poli(chlorek winylu) PVC jest polimerem syntetycznym, otrzymywanym przez polimeryzację chloroetenu (chlorku winylu). PVC to związek bezbarwny, a czarna barwa płyt gramofonowych pochodzi od sadzy, dodawanej jednak nie jako barwnik, a środek zwiększający spoistość strukturalną, a tym samym jakość dźwięku. Sadza ogranicza też gromadzenie się ładunku elektrostatycznego. Można ją jednak zastąpić innymi barwnikami, a nawet otrzymać płyty całkowicie przezroczyste.

Jakość PVC użytego do produkcji płyt ma duży wpływ na jakość dźwięku i trwałość płyty. Istotna jest na przykład gramatura, wynosząca w przypadku zwykłych winyli 120–140 g. W przypadku płyt z grafiką (picture disc) jest ona większa (zwykle powyżej 160 g); wydawane są też „ciężkie” winyle audiofilskie o gramaturze co najmniej 180 g. W czasach kryzysu paliwowego w latach 70. XX wieku próbowano dla oszczędności wytwarzać płyty cieńsze (i zarazem lżejsze) albo zastępować czysty PVC jego mieszaniną z poli(octanem winylu). Spowodowało to jednak znaczny spadek jakości dźwięku, więc ostatecznie te pomysły zarzucono.
Post pierwotnie opublikowany na facebookowej grupie „Chemia dla nauczycieli” wydawnictwa Nowa Era.
[źródła: https://en.wikipedia.org/wiki/Phonograph_record; https://portalwinylowy.pl/winyle/budowa-plyty-winylowej; https://en.wikipedia.org/wiki/Shellac; https://en.wikipedia.org/wiki/Kerria_lacca; https://zielony.onet.pl/przyroda/tego-robaka-zjadl-kazdy-z-nas-zdziwisz-sie-w-jakich-produktach-wystepuje/8mj6efp; https://en.wikipedia.org/wiki/Emile_Berliner; Diego Tamburini, Joanne Dyer, Ilaria Bonaduce, „The characterisation of shellac resin by flow injection and liquid chromatography coupled with electrospray ionisation and mass spectrometry”, Scientific Reports, 7:14784, 2017; https://en.wikipedia.org/wiki/Quadraphonic_sound; https://en.wikipedia.org/wiki/Polyvinyl_chloride]
[źródła ilustracji: 丘崈 – Own work, CC0, https://commons.wikimedia.org/w/index.php?curid=175950962; Jü – Own work, CC0, https://commons.wikimedia.org/w/index.php?curid=15821277; https://e-destylatory.pl/produkt/pokretlo-gwiazda-docisk-ebonit-srubam-m8-40mm-fi40mm/; Nuberger13 at en.wikipedia – I created this work entirely by myself., Public Domain, https://commons.wikimedia.org/w/index.php?curid=13477833; F.M. Howlett – https://www.flickr.com/photos/biodivlibrary/6280048728/in/set-72157627975114672, CC0, https://commons.wikimedia.org/w/index.php?curid=19935897; Josh Miller/CNET; https://muzyka.sklep.pl/queen/queen-bohemian-rhapsody-50th-anniversary-12-picture-disc]